Genomic Analysis of the CALERIE Trial to Generate New Knowledge for Geroscience

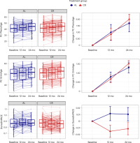
The graying global population makes interventions to extend healthy lifespan (healthspan) a public heath priority. Therapies targeting basic biological processes of aging show proof-of-concept in animals: early-to-midlife intervention can delay disease onset and prolong healthspan. But translating these geroprotective therapies to humans faces the barrier that human clinical trials of midlife geroprotective therapy would require decades of follow-up to measure healthspan extension. An alternative is a short-term accelerated geroprotector trial that tests if geroprotective intervention can slow the rate of biological aging. Biological aging is the gradual and progressive decline in system integrity that occurs with advancing chronological age. This process is thought to be the root cause of increases in morbidity and disability in later life. New research shows that biological aging can be measured in humans and that measures of biological aging predict human healthspan. Geroprotective therapies that target basic biological processes of aging are hypothesized to slow the rate of biological aging. But this has not been tested. Our study will test if the best-established geroprotective intervention in animals, long-term caloric restriction, slows the rate of biological aging in midlife humans, who are still young enough  for age-related disease to be delayed or prevented. We will conduct new assays of stored biospecimens from the National Institute on Aging’s recently-completed CALERIE Trial, which randomized 220 non-obese adults to 25% caloric restriction (CR, N=145) or ad libitum normal diet (AL, N=75) for a period of 2 years. We have already shown that CR slows aging-related deterioration in organ-system integrity. Now, we propose to extend this test to genomic measures of biological aging. We will assay whole-genome DNA methylation (using Illumina chips) and gene expression (using RNA sequencing) from blood samples collected at CALERIE baseline, and at 12-, and 24-month follow-ups. We will use this 3-time-point repeated-measures multi-omics dataset to test

(i) Does CR slows the rate of biological aging as measured from DNA methylation?

(ii) Does CR cause changes to gene expression in the pathways known to mediate healthspan-extending effects of CR in animals, e.g. the mTOR pathway?

(iii) Do changes to DNA methylation and gene expression mediate effects of CR on organ system functioning?

We will share the multi-omics data we generate with the CALERIE Biorepository, making the resource freely available to all interested researchers. The proposed project will generate new knowledge about effects of caloric restriction on biological aging in humans and test proof of concept for an accelerated geroprotector trial design that can speed translation of new age-delaying therapies from animals to humans. Open data sharing through the CALERIE Biorepository will enable research beyond the scope of this project to improve understanding of caloric restriction and advance the field of geroscience.

Featured Publication: Waziry R, Ryan CP, Corcoran DL, Graf G, Huffman KM, Kobor MS, Kothari M, Kraus VB, Kraus WE, Lin DTS, Pieper CF, Ramaker ME, Bhapkar M, Das SK, Ferrucci L, Hastings WJ, Kebbe M, Parker DC, Racette SB, Shalev I, Schilling B, Belsky DW*. Effect of Long-Term Caloric Restriction on DNA Methylation Measures of Biological Aging in Healthy Adults: CALERIE™ Trial Analysis. Nature Aging, 3(3):248-257, 2023. PMC10148951

Featured Publication: Ryan CP, Corcoran DL, Banskota N, Indik CE, Floratos A, Friedman RA, Kobor MS, Kraus VB, Kraus W, MacIsaac J, Orenduff M, Pieper CF, White J, Ferrucci L, Horvath S, Huffman KM, & Belsky DW*. The CALERIE Genomic Data Resource. Nature Aging, Published online Dec 13, 2024

Featured Publication: Ramaker ME, Corcoran DL, Apsley AT, Kobor MS, Kraus VB, Kraus WE, Lin DTS, Orenduff MC, Pieper CF, Waziry R, Huffman KM, Belsky DW*. Epigenome-wide association study analysis of calorie restriction in humans, CALERIE Trial analysis. Journals of Gerontology Series A: Biological Sciences, glac168. Published online August 15, 2022

Featured Collaborator(s)

  • Calen Ryan, PhD

  • Megan Ramaker, PhD